Response Surface Method
The goal of reponse surface method, also called data regression analysis, is to determine the values of parameters for a function that cause the function to best fit a set of data observations that you provide. This method was introduced by G. E. P. Box and K. B. Wilson in 1951. The main idea of RSM is to use a sequence of designed experiments to obtain an optimal response.
Linear regression equations.
If we expect a set of data to have a linear correlation, it is not necessary for us to plot the data in order to determine the constants m (slope) and b (y-intercept) of the equation . Instead, we can apply a statistical treatment known as to the data and determine these constants.
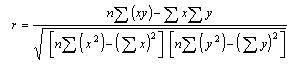
Given a set of data with n data points, the slope, y-intercept and correlation coefficient, r, can be determined using the following:

![]()

(Note that the limits of the summation, which are i to n, and the summation indices on x and y have been omitted.)